对于大多数结构而言,设计结构的时候需要考虑地震作用的影响以保证结构的安全。地震作用分为水平地震作用和竖向地震作用。其中,水平地震作用计算的三种常用方法为:反应谱底部剪力法、振型分解反应谱法、弹性时程分析法。由于第一种方法主要适用于不超过40层的建筑,符合本次结赛的需要,因此以下主要介绍第一种方法。
1
反应谱的基本概念
反应谱指一定阻尼比、一系列单自由度弹性体系的地震最大反应值与周期关系的曲线。反应谱可以分为三类:加速度反应谱、速度反应谱、位移反应谱。其中,加速度反应谱与地震作用计算密切相关。以下图为例进行说明:

图1 加速度反应谱
不同的结构有不同的自振周期。现有自振周期为T1、T2的两个结构,在特定地震波下随着时间t的推移,有着一系列变化的加速度。其中,加速度的最大值分别为Sa1与Sa2,也就对应了加速度反应谱上的两点(T1, Sa1)与(T2, Sa2)。
2
设计反应谱
地震作用是随机的,无法预知未来场地地震的情况。然而在设计结构时,需要确定的地震作用大小。如何处理这一矛盾呢?
《建筑抗震设计规范》规定了设计反应谱,是以地震影响系数曲线的形式给出。该曲线是基于国内外大量地震加速度纪录反应谱得到。我国规范设计反应谱(地震影响系数α谱曲线)如下:

其中,曲线下降段各参数确定方法如下:


地震影响系数最大值和特征周期指确定如下:

3
反应谱底部剪力法
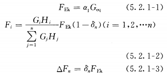
适用范围:不超过40层,以剪切变形为主且质量和刚度沿高度分布比较均匀的结构,以及近似于单自由度的结构。在反应谱底部剪力法中,地震作用相当于给各层施加了一个横向荷载。具体而言,计算过程较为简单:

各参数的意义与确定方式如下(提到的规范即《建筑抗震设计规范》GB50011-2010):




4
计算样例
下面以一单自由度水塔为例,体现上述的计算过程。
题目:一水塔,简化为单自由度体系,集中质量m=6×10^5kg,刚度k=9×10^6N/m, III类场地,设计地震分组为第一组,8度设防,阻尼比为0.03。请用规范中给出的设计反应谱(amax=0.16)求该结构在多遇地震下的底部剪力。
解答:

注:(1)部分内容(第一节)来自于纪晓东老师《地震工程导论》课件
(2)文中涉及的规范为《建筑抗震设计规范》GB50011-2010
致谢:
感谢远洋集团、世茂集团、华为赛事基金对本次大赛的大力支持
感谢清华大学学生学习与发展指导中心对“技术贴”项目的大力支持

编辑 张天野
排版 孟姣
审核 陈旺