为帮助选手理解材料性质,提高结构分析能力以及动手能力,更好地准备比赛,科协将以技术贴的形式为各位热爱结赛的选手提供相应指导。相关内容主要包括以下四部分:
(1)如何结合材性试验来确定桐木的材料性质
(2)计算地震力的常见方法
(3)SAP2000建模以及计算地震力教程
(4)常见的高层结构体系以及抗震设计
本篇技术贴将为大家介绍第26届结构设计大赛所用的主要材料——桐木的一些性质。此次主要介绍如何确定桐木的杨氏模量E,在计算之前,先补充一些基础知识。
相关知识
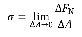
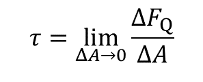
应力:分布内力在一点的集度,单位N/mm^2等,即一点上内力的大小。按照应力与作用面的位置,其中垂直于作用面的应力称为正应力,平行于作用面的应力称为剪应力,其中正应力用σ表示,剪应力用τ表示。

正应力σ

剪应力τ
取材料中一微元体进行分析,其中Δ?为所取微元体的受力面积,_ΔFN_与_ΔFQ_表示作用在Δ?面积上的正应力以及剪应力,当Δ?趋向于0时,下面两式所求结果分别为一点的正应力、剪应力的大小。


强度:构件受力后不发生破坏或不产生不可恢复变形的能力。其中抗拉强度即材料在受拉极限状态下的应力。
**
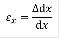
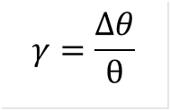
应变:**一点的变形程度,用材料变形与材料本身尺寸的比值来反映。包括正应变与剪应变等。其中正应变表示引起的线变形的程度,用ε表示,比如截面不变的细长均匀直杆在受到端部均匀拉力时,引起的应变。剪应变为剪应力引起的角变形的程度,用γ表示,剪应变用直角的改变量度量。


杨氏模量E:在物体的弹性限度内,发生单位正应变时所需的正应力的大小,对于线弹性材料,E为定值,即σ-ε曲线的斜率。从其定义可以看出,杨氏模量只和材料本身的性质有关系,而与材料的尺寸形状无关。

剪切模量G:类似于杨氏模量,是剪应力与剪应变的比值,同样只与材料本身的性质有关。

各向异性:材料各个方向的性质不相同。如桐木顺纹的抗拉强度与横纹的抗拉强度是不同的。
**
稳定性:**
构件在压缩荷载下,保持平衡形式不发生突然转变的能力(如细长直杆在轴向压力作用下,当压力达到一定值后,在外界扰动下,直杆会从直线平衡模式变为曲线平衡模式)。对于细长构件,抗压承载力通常由稳定性控制。
木材基本受力特点
木材在顺纹与横纹方向的力学性能有比较大的差异,其中顺纹方向的抗拉强度要高于横纹方向。
由于木材的各向异性,以及加工处理中的误差,比赛中所用桐木的性能存在一定的离散性。
桐木杨氏模量求解
本次桐木材性实验在韩建国老师帮助下完成,主要有四个试验,分别包括桐木杆的单轴抗压试验、单轴抗拉试验,以及桐木板的顺纹拉伸试验及横纹拉伸试验。这里以单轴抗拉试验为例,求解试验所用试件B2的杨氏模量。

实验构件B2示意图

荷载—位移曲线
(1)应变(此处假设拉应变只发生在试件中央100mm的范围):

(2)极限拉应力/抗拉强度(认为构件受拉时,截面受力均匀):

(3)杨氏(弹性)模量:

按照以上方法,可以求出B3,B4的抗拉强度以及杨氏模量如下表所示,实际计算中可采用算数平均值作为木材抗拉强度,或考虑到三个试件试验结果相差较大,计算时偏于安全地采用三者中最小值作为抗拉强度。
选手应结合实际确定相应的材料参数。

结论
(1)桐木的顺纹方向与木条、木板的长度方向不严格一致,受力性能上可能会存在较大的差异性。
(2)材性试验所用试验构件数量有限,试验结果存在一定偶然性,实验结果供选手参考。
(3)鼓励选手根据需要自行进行简单的试验,确定构件或结构的实际受力性能。
(4)对于桐木的密度等参数确定,选手可以自行通过实验确定或者参考网站确定:
致谢
感谢韩建国老师对本次实验的大力支持
感谢远洋集团、世茂集团、华为赛事基金对本次大赛的大力支持
感谢清华大学学生学习与发展指导中心对“技术贴”项目的大力支持

实验 赛事中心
文案 周思源
排版 陈旺
审核 陈旺 周思源
